产品
文章
搜索
名称
描述
内容
登录
|
注册
首页
沃吉概况
关于沃吉
活动新闻
资质荣誉
产品分类
mRNA
信号通路
疾病&肿瘤
感染&免疫
靶基因筛选
网络药理通路
分子功能&生物过程
ncRNA
miRNA
miRNA靶基因
miRNA PCR Array
lncRNA
circRNA
piRNA
snoRNA
ceRNA
lnc-mir-mRNA
circ-mir-mRNA
定制
试剂盒
联系我们
技术资料
PCR Array 专刊
应用文章
应用文章1
技术讲座
生物数据库
Fe3 +促进假单胞菌对水中土霉素的降解
来源:
|
作者:
wcgene
|
发布时间:
2020-03-13
|
130
次浏览
|
🔊
点击朗读正文
❚❚
▶
|
分享到:
文章标题:
Fe3+ enhanced degradation of oxytetracycline in water by pseudomonas
Weining Qi ,Jian Long, Changqing Feng, Yao Feng, Dengmiao Cheng, Yuanwang Liu, Jianming Xue, Zhaojun Li
Water Research
(
IF=7
)
DOI: https://doi.org/10.1016/j.watres.2019.05.058
研究背景:
本文研究了不同碳源、金属离子、底物浓度、温度、
pH
值以及土霉素(
OTC
)相对丰度的变化来研究假单胞菌(
T4
)在
OTC
生物降解中的作用。
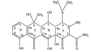
图
1.OTC
分子结构
方法
1.
色谱法对
OTC
定量和定性分析
2.
分光光度法检测细菌浓度
3.
qPCR
检测相关四环素类抗性基因
4.
在不同碳源、金属离子、底物浓度、温度、
pH
值以及
OTC
浓度条件下
T4
对
OTC
的生物降解
结果
1.OTC
的降解效率
图
2
显示
OTC
随时间降解的效率。结果表明
OTC
可能发生自发降解反应,但自发降解很慢。
图
3
(
A
)所示为不同碳源(淀粉、麦芽糖、牛肉提取物蛋白胨、酵母提取物和无机盐的
T4
对
OTC
的降解。实验结果表明细菌可以抗生素为碳源,即
OTC
被
T4
作为碳源降解。图
3
(
B
)显示,与
Cu2 +
比较,添加
Fe3 +
可显着促进
T4
的生长。
图
4
显示初始
OTC
浓度(
5 mg L−1
至
100 mg L−1
)显著影响了
T4
对
OTC
的降解,影响依次为
50>25>10>5>100 mg L
−1
。仅用
T4
处理时,
50 mg L
-1
下的
OTC
降解率达到
32.0%
(图
4 a
),用
T4
和
Fe3+
组合处理时达到
65.5%
(图
4 b
)。
Fe3+
能促进
T4
的生长,从而增强了
OTC
的生物降解。
图
5
显示了不同温度下
OTC
降解速率和细菌生长的变化。在
40℃
下发现
OTC
的降解率最高,在
T4
(图
5a
)处理时为
54.8%
,在
T4
和
Fe3+
处理时为
80.7%
(图
5b
)。简言之,在不同温度下,
OTC
降解遵循
40℃>35℃>30℃>25℃
顺序。细菌生长随温度升高而增加。
« 上一页
1
2
3
下一页 »
查看全文 »
上一篇:
利用 PCR ARR......
下一篇:
使用PCRarray......